About   Help   FAQ
Gene Expression Data
Assay Details
Assay
Reference: J:138375 Cui XS, et al., High mobility group box 1 (HMGB1) is implicated in preimplantation embryo development in the mouse. Mol Reprod Dev. 2008 Aug;75(8):1290-9
Assay type: RT-PCR
MGI Accession ID: MGI:6449703
Gene symbol: Hmgb1
Gene name: high mobility group box 1
Probe: Hmgb1-pA, Hmgb1-pB
Probe preparation: labelled with SYBR green
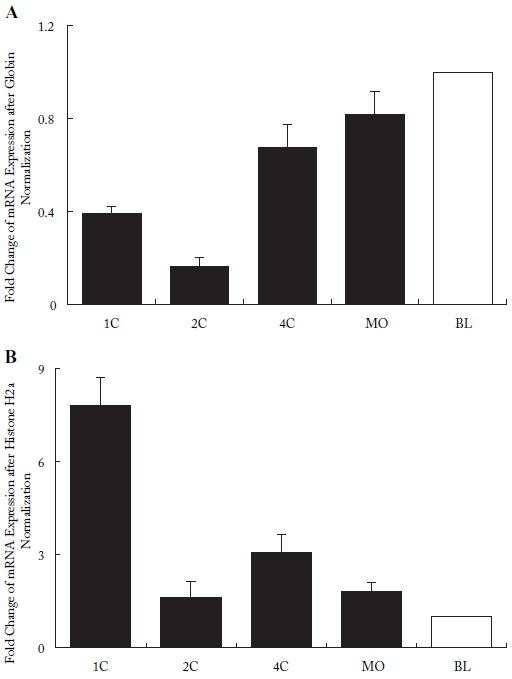
Assay notes: Quantitative RT-PCR. Rabbit Globin mRNA was used as an external reference for the analysis of relative mRNA levels. The level of mRNA expression in the blastocyst was arbitrarily set at onefold.
Results
Image: 1A ©

 Sample Information Bands Other Sample Information
Lane AgeStructure 158 bp (b) Amount Genetic BackgroundMutant Allele(s)Sex
1C E0.5 (a) TS1: 1-cell stage conceptus Present Not Specified; poly-A+ RNA involves: C57BL/6 * DBA/2 Not Specified
2C E1.0 (a) TS2: 2-cell stage conceptus Present Not Specified; poly-A+ RNA involves: C57BL/6 * DBA/2 Not Specified
4C E2.0 (a) TS3: 4-cell stage conceptus Present Not Specified; poly-A+ RNA involves: C57BL/6 * DBA/2 Not Specified
MO E3.0 (a) TS3: morula-stage conceptus Present Not Specified; poly-A+ RNA involves: C57BL/6 * DBA/2 Not Specified
BL E3.5 (a) TS4: blastocyst Present Not Specified; poly-A+ RNA involves: C57BL/6 * DBA/2 Not Specified
Notes:
(a) Age assigned by curator based on morphological criteria supplied by authors.
(b) Hmgb1 mRNA levels were high in zygotes, and decreased at the 2-cell stage, but then gradually increased from the 4-cell to blastocyst stage.

Contributing Projects:
Mouse Genome Database (MGD), Gene Expression Database (GXD), Mouse Models of Human Cancer database (MMHCdb) (formerly Mouse Tumor Biology (MTB)), Gene Ontology (GO)
Citing These Resources
Funding Information
Warranty Disclaimer, Privacy Notice, Licensing, & Copyright
Send questions and comments to User Support.
last database update
01/28/2026
MGI 6.24
The Jackson Laboratory