About   Help   FAQ
Gene Expression Data
Assay Details
Assay
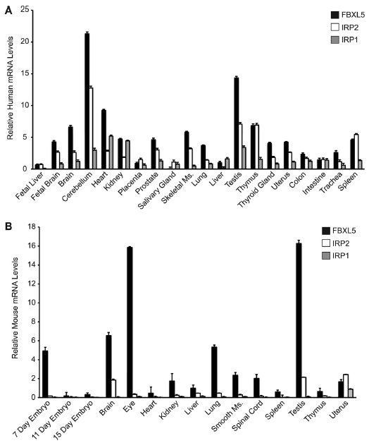
Reference: J:193752 Ruiz JC, et al., F-box and leucine-rich repeat protein 5 (FBXL5) is required for maintenance of cellular and systemic iron homeostasis. J Biol Chem. 2013 Jan 4;288(1):552-60
Assay type: RT-PCR
MGI Accession ID: MGI:7544952
Gene symbol: Fbxl5
Gene name: F-box and leucine-rich repeat protein 5
Probe: Fbxl5-pForward, Fbxl5-pReverse
Assay notes: Quantitative RT-PCR. Relative expression was normalized to Gapdh.
Results
Image: 1B Fbxl5 ©

 Sample Information Bands Other Sample Information
Lane AgeStructure Size Not Specified Amount Genetic BackgroundMutant Allele(s)Sex
7 Day Embryo E7.0 (a) TS10: embryo Strong Not Specified; total RNA Not Specified Not Specified
11 Day Embryo E11.0 (a) TS18: embryo Present Not Specified; total RNA Not Specified Not Specified
15 Day Embryo E15.0 (a) TS23: embryo Present Not Specified; total RNA Not Specified Not Specified
Brain P adult TS28: brain Strong (b) Not Specified; total RNA Not Specified Not Specified
Eye P adult TS28: eye Strong (b) Not Specified; total RNA Not Specified Not Specified
Heart P adult TS28: heart Present Not Specified; total RNA Not Specified Not Specified
Kidney P adult TS28: metanephros Present Not Specified; total RNA Not Specified Not Specified
Liver P adult TS28: liver Present Not Specified; total RNA Not Specified Not Specified
Lung P adult TS28: lung Present Not Specified; total RNA Not Specified Not Specified
Smooth Ms. P adult TS28: smooth muscle tissue Present Not Specified; total RNA Not Specified Not Specified
Spinal Cord P adult TS28: spinal cord Present Not Specified; total RNA Not Specified Not Specified
Spleen P adult TS28: spleen Present Not Specified; total RNA Not Specified Not Specified
Testis P adult TS28: testis Strong (b) Not Specified; total RNA Not Specified Male
Thymus P adult TS28: thymus Present Not Specified; total RNA Not Specified Not Specified
Uterus P adult TS28: uterus Present Not Specified; total RNA Not Specified Female
Notes:
(a) Age of embryo at noon of plug day not specified in reference.
(b) This is one of the tissues with the highest expression levels.

Contributing Projects:
Mouse Genome Database (MGD), Gene Expression Database (GXD), Mouse Models of Human Cancer database (MMHCdb) (formerly Mouse Tumor Biology (MTB)), Gene Ontology (GO)
Citing These Resources
Funding Information
Warranty Disclaimer, Privacy Notice, Licensing, & Copyright
Send questions and comments to User Support.
last database update
04/07/2026
MGI 6.24
The Jackson Laboratory