About   Help   FAQ
Gene Expression Data
Assay Details
Assay
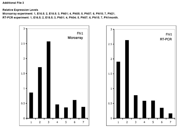
Reference: J:120114 Zhang SS, et al., A biphasic pattern of gene expression during mouse retina development. BMC Dev Biol. 2006;6:48
Assay type: RT-PCR
MGI Accession ID: MGI:3708876
Gene symbol: Fhl1
Gene name: four and a half LIM domains 1
Probe: Fhl1-pC, Fhl1-pD
Assay notes: This data is presented in Additional File 3. Quantitative RT-PCR was used to obtain it.
Results
 Sample Information Bands Other Sample Information
Lane AgeStructure Size Not Specified Amount Genetic BackgroundMutant Allele(s)Sex
1 E16.5 (a) TS24: retina Present Not Specified; total RNA C57BL/6J Not Specified
2 E18.5 (a) TS26: retina Present Not Specified; total RNA C57BL/6J Not Specified
3 P1 TS27: retina Present Not Specified; total RNA C57BL/6J Not Specified
4 P4 TS28: retina Present Not Specified; total RNA C57BL/6J Not Specified
5 P7 TS28: retina Present Not Specified; total RNA C57BL/6J Not Specified
6 P15 TS28: retina Present Not Specified; total RNA C57BL/6J Not Specified
7 P m 1 TS28: retina Present Not Specified; total RNA C57BL/6J Not Specified
Notes:
(a) Age of embryo at noon of plug day not specified in reference.

Contributing Projects:
Mouse Genome Database (MGD), Gene Expression Database (GXD), Mouse Models of Human Cancer database (MMHCdb) (formerly Mouse Tumor Biology (MTB)), Gene Ontology (GO)
Citing These Resources
Funding Information
Warranty Disclaimer, Privacy Notice, Licensing, & Copyright
Send questions and comments to User Support.
last database update
12/30/2025
MGI 6.24
The Jackson Laboratory