About   Help   FAQ
Gene Expression Data
Assay Details
Assay
Reference: J:94457 Haubst N, et al., Molecular dissection of Pax6 function: the specific roles of the paired domain and homeodomain in brain development. Development. 2004 Dec;131(24):6131-40
Assay type: RT-PCR
MGI Accession ID: MGI:3525117
Gene symbol: Pax6
Gene name: paired box 6
Probe: Splice forward, Splice reverse
Probe preparation: DNA
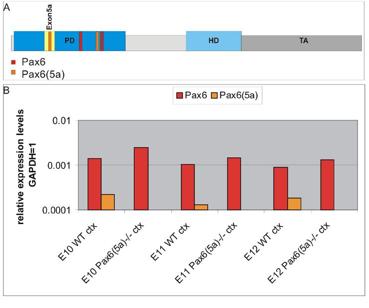
Assay notes: The results are shown graphically. The assay was a real-time RT-PCR. expression strength values were assigned based on the bar graph.
Results
 Sample Information Bands Other Sample Information
Lane AgeStructure Size Not Specified Amount Genetic BackgroundMutant Allele(s)Sex Note
E10 WT ctx E10.0 (a) TS16: telencephalon Weak Not Specified; total RNA Not Specified Not Specified cerebral cortex
E10 Pax6(5a)-/- ctx E10.0 (a) TS16: telencephalon Absent Not Specified; total RNA involves: 129S7/SvEvBrd * C57BL/6 Pax6tm1Gfs/Pax6tm1GfsNot Specified cerebral cortex
E11 WT ctx E11.0 (a) TS18: telencephalon Trace Not Specified; total RNA Not Specified Not Specified cerebral cortex
E11 Pax6(5a)-/- ctx E11.0 (a) TS18: telencephalon Absent Not Specified; total RNA involves: 129S7/SvEvBrd * C57BL/6 Pax6tm1Gfs/Pax6tm1GfsNot Specified cerebral cortex
E12 WT ctx E12.0 (a) TS20: cerebral cortex Weak Not Specified; total RNA Not Specified Not Specified
E12 Pax6(5a)-/- ctx E12.0 (a) TS20: cerebral cortex Absent Not Specified; total RNA involves: 129S7/SvEvBrd * C57BL/6 Pax6tm1Gfs/Pax6tm1GfsNot Specified
Notes:
(a) Age of embryo at noon of plug day not specified in reference.

Contributing Projects:
Mouse Genome Database (MGD), Gene Expression Database (GXD), Mouse Models of Human Cancer database (MMHCdb) (formerly Mouse Tumor Biology (MTB)), Gene Ontology (GO)
Citing These Resources
Funding Information
Warranty Disclaimer, Privacy Notice, Licensing, & Copyright
Send questions and comments to User Support.
last database update
03/24/2026
MGI 6.24
The Jackson Laboratory